2022-01-28 20:09:01 sunmedia 1166
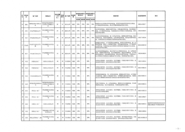
新疆发改委下达“十四五”第一批煤电机组灵活性改造项目,确定华电红雁池分公司3号机组灵活性改造等27个项目为自治区“十四五”第一批煤电机组灵活性改造项目,项目总装机1125.5万千瓦。
其中,21个项目要求,纯凝期改造后机组最小技术出力达到20%,其他项目则要求在25%-30%。
其中,外送配套煤电机组9个、装机594万千瓦,实施改造后增加调峰能力118.8万千瓦;疆内自用煤电机组18个、装机531.5万千瓦,实施改造后增加调峰能力133.6万千瓦。
从业主单位来看,27台机组中,华电集团占21台,华能集团占1台,国家能源集团占2台,中煤集团占3台。
从装机规模来看,14台机组是30万千瓦级别,9台机组是60万千瓦级别,4台机组是30万千瓦以下。






原文件如下:






“十四五”初年,在“双碳目标”背景下,为助力能源转型,促进企业创新、产业变革与社会可持续发展,国际能源网凭借16年蓄积之力,继续构筑产业重磅年度盛会。
“2021第六届中国光伏产业论坛”将在北京举办。论坛以“能源转型 光伏先行”为主题,将深入解读新时代能源高质量发展形势与政策,探讨新型电力系统下光储充一体化的发展机遇,宣扬业内新技术、新产品与创新理念,探索光伏产业发展新目标,并对光伏产业各先进企业进行表彰,凝心聚力为实现碳达峰、碳中和献计献策!
来源:国际能源网